Tránsito de Mercurio 2019: Ideas Básicas
| 1. | 2. | 3. | 4. |
 |
 |
 |
 |
Caracas, Venezuela, 14:00:00 UT (E. Torres) |
Hannover, Germany, 14:00:01 UT (U. Backhaus) |
Caracas re-escalada y rotada |
Hannover recortada y rotada |
Para visualizar el procedimiento gráfico usaremos dos imágenes del tránsito de 2016: En las imágenes originales el sol tiene diferente tamaño y orientación (1. y 2.). Por lo tanto, la imagen tomada desde Caracas se ha rotado y su tamaño se ha ajustado (3.) de tal manera que el sol tenga el mismo radio en las dos. En el segundo paso, la imagen de Hannover ha sido asímismo rotada y recortada (4.). Para obtener cuantitativos resultados buenos estas pasos se deben realizar calculatoriamente.
El procedimiento para encontrar la dirección del norte ecuatorial es algo complejo, lo describiremos más adelante.
 |
Combinación ("max") de las imágenes de Caracas y Hannover tomadas a las 14:00 UT. ¡El paralaje de Mercurio es muy pequeño! |
Si el radio angular del sol es conocido o medido, el ángulo de paralaje
β puede ser medido en esta imagen combinada.
Regresar a Inicio
El paralaje describe el efecto por el cual un objeto celeste tiene posiciones aparentemente distintas con respecto al fondo de estrellas lejanas cuando es observado desde distintos lugares de la tierra. Esto significa que las direcciones de los observadores del objeto son diferentes. El ángulo
β entre estas direcciones se denomina ángulo de paralaje ( o sencillamente paralaje) del objeto con respecto a los lugares de observación. Cuando el paralaje es conocido es posible determinar la distancia al objeto.
El tránsito de Mercurio ofrece la posibilidad de medir la distancia al sol por medio de la determinación inicial del paralaje de Mercurio. Durante el tránsito el disco solar sirve de marco de referencia para las medidas de la posición. Pero hay un inconveniente: el sol mismo muestra paralaje. Por consiguiente, el desplazamiento paraláctico
β de Mercurio con respecto al sol no es el ángulo de paralaje
βM.
Afortunadamente, este problema se resuelve fácilmente: Dado que tanto el paralaje del sol como el de Mercurio tienen la misma dirección, el desplazamiento β medido con respecto al disco solar es simplemente la diferencia de los paralajes:
 | |
 |
Cuando el observador se mueve de A a B, Mercurio y el sol se desplazan en la misma dirección una cantidad βM and βS. | |
Cuando las imágenes del sol se alinean, el desplazamiento de Mercurio βM se reduce a βM-βS. |
Desde hace Copernicus y Kepler el ratio de los radios de los planetas (o más precisamente, el ratio actual de sus distancias al sol) se puede calcular sin el saber de la UA. Por eso el paralaje de Mercurio
βM se puede también derivar del ángulo medido
β :
Regresar a Inicio
Ahora se puede derivar también el paralaje solar:
O simplemente,
Y cuando se conoces esto ángulo y las posición de los observadores, se puede obtener la distancia al sol
dS:
El ángulo
βS - y por lo tanto la distancia
dS - depende de la proyección linear de la distancia
Δsin w entre los observadores. Es habitual referir el ángulo de paralaje al radio de la tierra
RE. Este ángulo se denomina
paralaje solar πS:
Dado que el desplazamiento paraláctico se mide como una fracción
f del radio angular del sol,
β=fρS, se obtiene la fórmula final del paralaje solar:
y para la distancia de la tierra al sol.
En esto proyecto, asumiremos como valores fijos las medidas (1) del radio de la tierra, (2) el radio angular del sol y (3) la razón entre las distancias al sol de la tierra y mercurio. Y a diferencia del proyecto del tránsito de 2004 no intentaremos esta vez determinar la distancia proyectada entre los distintos observadores
Δsin w.
Por tanto, nos concentraremos en una medida muy cuidadosa de los desplazamientos paralácticos β, es decir del radio f.
Regresar a Inicio
Esperamos que haya quedado claro en el punto 1. de esta página la importancia de una
determinación cuidadosa y exacta de la orientación de las imágenes (dirección del norte ecuatorial) para la comparación de las imágenes hecho al mismo tiempo. Existen al menos tres maneras de obtener esta orientación:
- Normalmente las imágenes logradas con telescopios profesionales apropiadamente ajustados (que incluyen montura paraláctica o una montura acimutal y "desrotador" de campo) no requiren procesamiento porque están perfectamente orientadas.
- La dirección de oriente a occidente es mostrada por el movimiento diario de los objetos celestes con (casi) no movimiento propio. Esta puede ser hallada tomando dos fotografías con la cámara fija (con el auto seguimiento - autotracking - apagado) con una diferencia de tiempo de entre 2 y 4 minutos de tal manera que el centro del disco solar pueda ser determinado en las dos tomas. El desplazamiento de los dos centros muestra la línea este-oeste. Las imágenes de abajo demostran el procedimiento: dos fotos tomadas con una diferencia de 151 segundos muestran el movimiento del sol durante ese intervalo de tiempo. Las imágenes se pueden sobreimponer (aunque no es necesario) y así mostrar la dirección al medir los centros del sol haciendo uso del pequeño programa de Windows evaltransitpicts. El mismo programa puede ser usado para medir la posición de Mercurio con respecto a la dirección este-oeste.
 |
 |
 |
 |
Hannover, 12:00:04 (U. Backhaus) |
Hannover, 12:02:35 (U. Backhaus) |
Hannover, 12::00:04 + 12:02:35 (max-combinación) |
Hannover, 12::00:04 + 12:02:35 (Medida de la posición de Mercurio) |
-
Si un observador obtiene solamente una imagen del sol, entonces hay que localizar algun rasgo distintivo de la superficie, como por ejemplo una mancha solar prominente. Esto permite medir la posición de Mercurio con respecto a esta mancha solar (ver abajo) o también orientar la imagen (por ejemplo comparándola con otra imagen tomada simultáneamente por el SDO). Por la pequeña distancia entre el centro y la mancha este método no es tan preciso como el discutido anteriormente.
Las imágenes de abajo demuestran el procedimiento: Dos imágenes tomadas simultáneamente están casi orientadas. Por tanto, para poder comparar las posiciones de Mercurio, las son medidas con respecto a la dirección de una parte de la mancha solar prominente que ha sido determinada de antemano (de nuevo usando evaltransitpicts).
 |
 |
 |
 |
Pointe Saint Mathieu, 17:00:00 (T. Kunzemann) |
Jugendherberge Konstanz, 17:00:00 (Carl Bosch Gymnasium) |
Ángulo de posición de Mercurio con respecto a una prominente mancha solar |
Regresar a Inicio
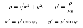
En las imágenes de orientación conocida, medimos el ángulo de posición de Mercurio
φ en sentido contrario a las manecillas del reloj con respecto a la dirección oeste ecuatorial tal y como se muestra en la imagen de Hannover 12:00:04, o si no con respecto a alguna otra dirección común (mancha solar). Su distancia
rM al centro del disco solar se mide en coordenadas rectangulares. Para poder hacer comparaciones de las medidas en imagenes de tamaño diferente, las longitudes se expresan como fracciones del radio angular del sol
ρS:
Finalmente, el desplazamiento paraláctico
β de Mercurio entre dos imágenes diferentes es
Ejemplo
Orientación correcta basada en la superposicion de las imágenes tomadas a las 14:00 en Caracas y Hannover las siguientes posiciones de Mercurio pueden ser medidas:.
x'1=-0.3712, y'1=-0.1891, x'2=-0.3643, y'2=-0.1937 y por tanto β=0.00837ρS.
Conociendo el valor del radio angular del sol (15.84´) y las coordenadas geográficas de los observadores se halla (usando por ejemplo
comp2mercurypositions.xls) una medida aceptable del paralaje solar:
πS=8.3"
Regresar a Inicio
Traducción: Mauricio Rojas
 |
 |
Editor: |
Udo Backhaus
 |
last update: 2019-04-03 |
 |